認定試験結果
Test results
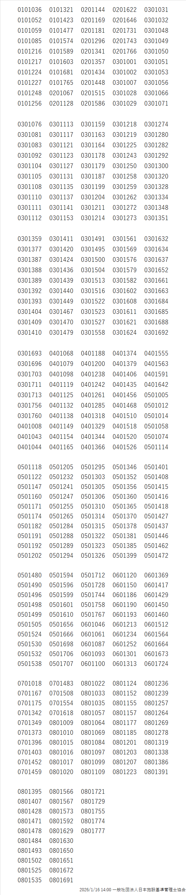
第8回 施設基準管理士認定試験
合格者 受験番号
Examination number

今後の流れについて
Application
合格された受験生の方には、後日、合格証及び資格登録の方法をご送付いたします。登録方法等については、送付する資料をご確認ください。
上記に合格番号があるにも関わらず、1月31日までにお手元に合格証等が届かない場合は、お手数ですが当協会事務局までご連絡ください。
注:個別の採点結果については、ご本人を含めお答えいたしませんので、お問い合わせはご遠慮ください。
